依托于“建筑-声学一流学科共建平台”,性爱电影
性爱电影
声学研究所的李勇研究员课题组与毛东兴教授课题组合作,在建筑声学的通风隔声窗领域取得重要进展。研究提出了一种以号筒状中空螺旋隔声单元为基础而构建的类镂空雕花薄板状结构,突破了传统隔声窗的高气流压力损失及现有超构隔声窗的窄带隔声等局限,实现了兼具高效通风和宽带隔声的通风隔声窗设计。相关研究成果于2020年4月10日以“Broadband Acoustic Ventilation Barriers”为题发表在国际物理学期刊Physical Review Applied第13卷上 [Phys. Rev. Applied 13, 044028 (2019)]。硕士研究生孙曼为第一作者,毛东兴教授、王旭副教授和李勇研究员为论文共同通讯作者。
传统声屏障在隔绝噪声的同时阻断了空气的流通,然而仍有许多特殊场合需同时满足通风和降噪。例如,当今城市日益严重的环境噪声污染下,绿色建筑的自然通风设计不可避免地伴随着外界噪声的侵扰。然而,传统通风隔声窗由于其曲折的气流通道带来明显的压力损失,无法保证自然通风的需求;而现有超构通风隔声窗由于其局域共振或法诺干涉机理,导致其隔声频带很窄。为突破这些现有设计的局限性,研究团队结合了性爱电影
物理学院李勇课题组在超构声学材料领域及毛东兴课题组在传统隔声窗领域的各自优势,以绿色建筑自然通风下的噪声控制需求为切入点,建立了基于系统表面响应的隔声理论,提出了宽带隔声单元模型,实现了多角度入射条件下的具备自然通风的宽带隔声窗设计。该研究的成果不仅有望解决城市绿色建筑的环境噪声难题,同时这种兼顾高效通风和宽带隔声的声学结构研究能够为我国声学功能材料开发相关的国防、交通、环境等诸多领域的基础研究和自主知识产权的应用研究提供理论和技术支持。
该项工作得到国家自然科学基金、中科协青年人才托举工程的支持。
值得一提的是,“建筑-声学一流学科共建平台”由性爱电影
声学研究所与建筑城规学院结合同济声学与建筑学的优势携手创建。近年来声学研究所在声学人工结构调控声场方面取得了一系列重要进展,已经发表了高水平SCI论文8篇,包括1篇Physical Review Letters,2篇Physical Review Applied,1篇Applied Physics Letters 等。
论文链接://link.aps.org/doi/10.1103/PhysRevApplied.13.044028
图1. (a) 传统通风隔声窗示意图; (b) 超构设计的通风隔声窗示意图。
图2. (a) 宽带通风隔声基本单元;(b) 由基本单元构建的通风隔声窗整体;(c)隔声单元的声能量透射曲线。
图3. 基于系统表面响应模态简并的隔声机理示意图:(a)隔声单元的单极子响应模态,(b)隔声单元的偶极子响应模态;(c)等强度单偶极子响应的模态简并,即强隔声状态。

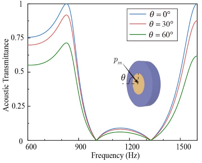
图4.不同角度声入射条件下的隔声单元的声压透射曲线。